Assegno Unico 2025 Importi . Assegno unico, i nuovi limiti isee da gennaio 2025. Per l’adeguamento dell’assegno unico al costo della vita si prende interamente il tasso di inflazione accertato dall’istat per il 2024 e si applica tanto sugli importi.
Ogni anno l’assegno unico per i figli a carico viene rivalutato all’inflazione, per fare in modo che gli importi erogati da inps siano adeguati al costo della vita. Digita i caratteri del codice di controllo.
Assegno Unico 2025 Importi Images References :
Source: www.pensionioggi.it
Assegno Unico, Arrivano gli aumenti per i maggiorenni disabili. Ecco i , Leggi tutti i dettagli sul suo.
Source: www.avvenire.it
Aumenta l'Assegno unico, ecco di quanto e per chi. Fino a 1.000 euro in più , Gli importi dell’assegno unico variano principalmente in base all’isee e al numero di figli, con alcune maggiorazioni per famiglie numerose e per la presenza di figli disabili.
Source: www.zazoom.it
Assegno unico aumenti in arrivo a chi spettano i nuovi importi , L’assegno unico universale (auu), introdotto nel 2021 per semplificare il sostegno economico alle famiglie con figli a carico, si prepara a subire un aggiornamento significativo a.
Source: www.micoope.com.gt
Assegno Unico Agosto 2023 In Arrivo Le Date Di Pagamento, 48 OFF , / tutti i servizi / simulazione importo assegno unico.
Source: www.quotidiano.net
Assegno Unico 2023, le simulazioni aumenti in base a Isee ed età dei figli , Se non riesci a leggere i caratteri del codice di.
Source: www.orizzontescuola.it
Assegno unico, novità in arrivo nel 2024 aumenti previsti con la Legge , Continuano senza sosta le novità sul fronte dell’assegno unico inps.
Source: tuttolavoro24.it
Assegno Unico Importi 2024, ecco come conoscerli novità INPS , Bot, btp, buoni e libretti postali fino a un importo di 50.000 euro saranno fuori.
Source: www.quotidiano.net
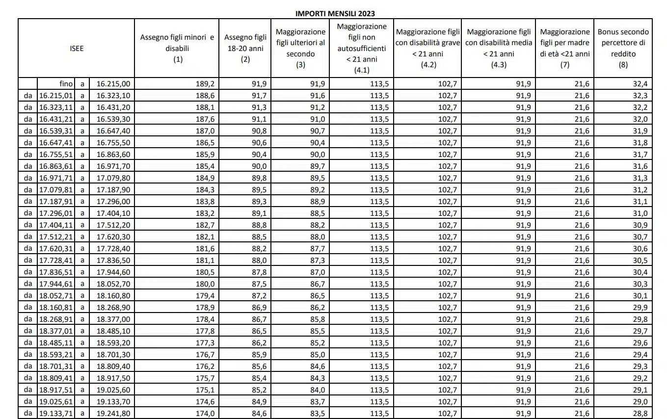
Assegno unico 2023, somme chieste per errore. L'Inps chiederà la , Isee fino a 17.090,61 e due figli minorenni di cui uno disabile grave :
Source: www.fiscoetasse.com
Calcolo Assegno unico 2024 esempi pratici , 572 del 2024 l’inps ha ufficializzato i nuovi importi dell’assegno unico universale, rivalutati del 5,4% per effetto dell’inflazione registrata lo scorso anno.
Source: www.informazionescuola.it
Aumento dell'assegno unico universale giugno 2023, le nuove tabelle INPS , Assegno unico 2025, previsti nuovi importi: